2022年度,色漫 输水系统水力仿真与安全控制团队车同川副教授,围绕“输水管道泄漏定位”主题,连续在水利工程学科国际权威SCI期刊《Water Resources Research》上发表3篇第一作者论文,在水锤波管道泄漏定位研究领域取得了一系列突破性进展。
以上3篇学术论文,水电院均为第一兼通讯单位,研究团队周领教授和车同川副教授担任通讯或共同通讯作者。论文合著作者还包括北京航空航天大学王洵教授、香港理工大学段焕丰教授、香港科技大学Mohamed S. Ghidaoui教授和Moez Louati博士。

图1 水锤波管道泄漏定位方法
输水管道系统铺设于地下,由于年久失修,老化严重,泄漏问题层出不穷,造成了极大的资源浪费和经济损失。在此背景下,中央政府特别提出“节水优先”的水资源利用方针,《国家节水行动方案》和《“十四五”节水型社会建设规划》也多次聚焦管道“泄漏”问题。因此,深化节水型社会建设亟需攻克“输水管道泄漏定位”这一难题。

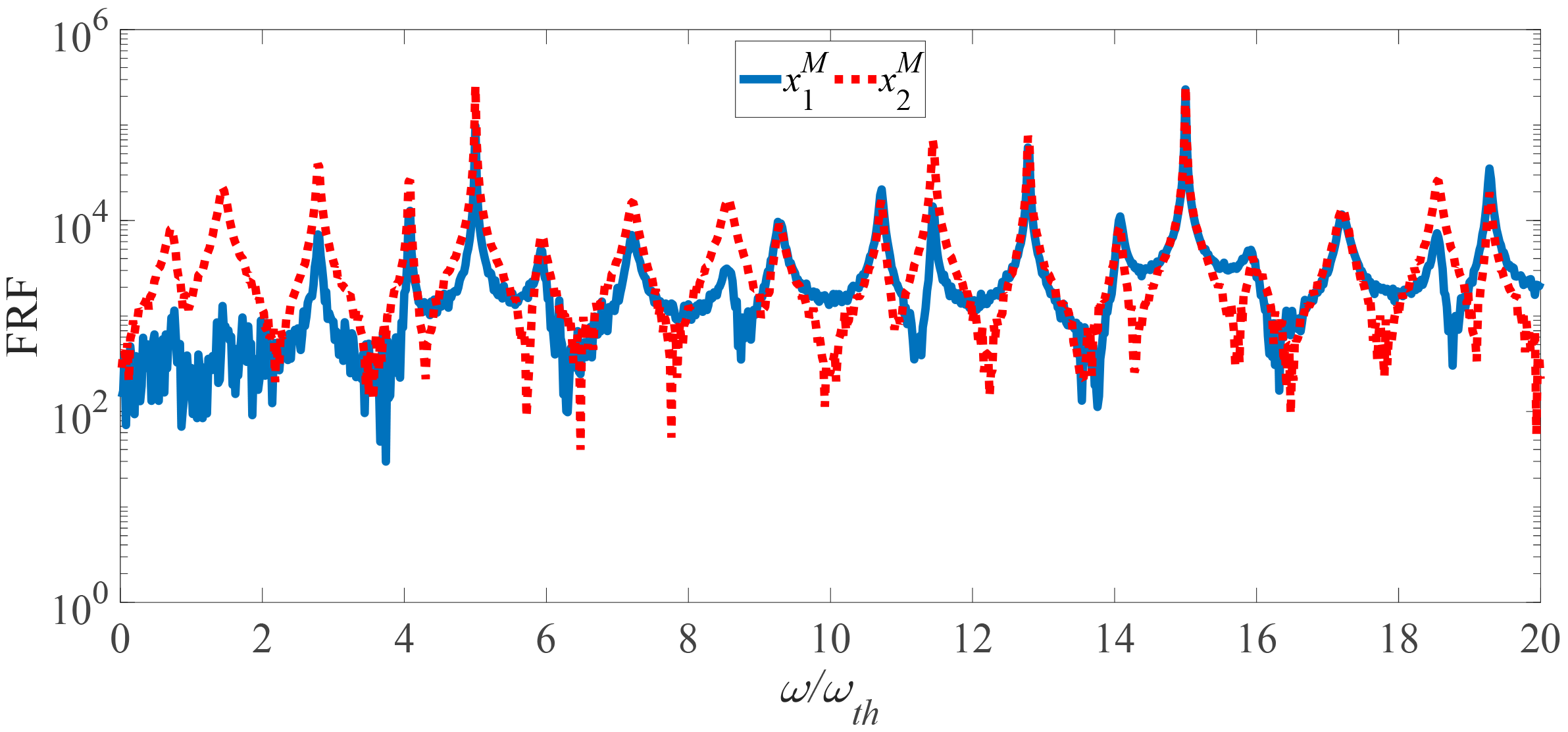
图2 供水管网频域压力响应函数
研究团队瞄准国际水力学领域极具挑战性的前沿课题——复杂供水管网系统的泄漏定位,并取得了一系列突破性进展。主要包括:(1)针对复杂管网拓扑结构下的多路径波传播效应,首次从理论上严格推导了管网水锤波解析模型,揭示了水锤波与泄漏及不同管网结构之间的多重耦合机理(Che et al.,2022a);(2)针对系统噪声和不确定性引发的病态反演问题,从理论上证伪了经典Tikhonov正则化方法,提出了低信噪比下不适定频率信息的消除策略,实现了复杂干扰下泄漏的精准定位(Che et al.,2022b);(3)针对埋地管网难以布置大量感知设备,建立了新型管网水锤波解析模型,突破了所有边界必须加装传感器的技术瓶颈,极大地提升了该方法的实用性和适用性(Che et al.,2022c)。
以上研究工作面向国家重大节水需求,重点解决水锤波定位方法技术瓶颈背后的关键科学问题,实现复杂供水管网泄漏的准确、稳定和高效定位。研究成果将为节水型社会建设提供理论基础和技术支持,具有重要的科学意义和广泛的应用前景。

图3 供水管网多泄漏同步反演定位结果
《Water Resources Research》是美国地球物理学会(AGU)的旗舰期刊,创刊于1965年,在水利工程学科享有斐然的学术声誉及口碑。据统计,该期刊为中科院大类(地球科学)1区Top期刊。
以上研究工作得到了国家自然科学基金(52209084,52005016,51839008)、香港研究资助局“重大主题研究计划”(T21-602/15-R)及“优配研究计划”(15200719)、中央高校基本科研业务费等项目的支持。
论文信息:
1. Che, T.C.*(车同川), Wang, X., and Ghidaoui, M.S. (2022a). Leak localization in looped pipe networks based on a factorized transient wave model: Theoretical framework. Water Resources Research, 58(4), e2021WR031364.
2. Che, T.C.*(车同川), Wang, X., Louati, M., Zhou, L.*(周领), and Ghidaoui, M.S. (2022b). Leak localization in looped pipe networks based on a factorized transient wave model: 2. Regularization of ill-conditioned problems. Water Resources Research, 58(11), e2022WR033293.
3. Che, T.C.(车同川), Wang, X., Zhou, L.*(周领), and Duan, H.F. (2022c). Modified factorized transient wave model in tree pipe networks for leak localization with less boundary measurements. Water Resources Research, 58, e2022WR032856.

